各位考生:
根据《武汉音乐学院2026年普通本科招生简章》《关于发布2026年普通本科招生校考成绩合格线的通知》,现将校考成绩合格考生名单予以公示。我校将在教育部专业合格名单备案时,统一核验考生艺术类省统考合格要求,如经核实不符合要求的,将无法备案合格名单,校考成绩视为无效,由此造成的后果由考生本人承担。
武汉音乐学院招生工作办公室
2026年4月11日
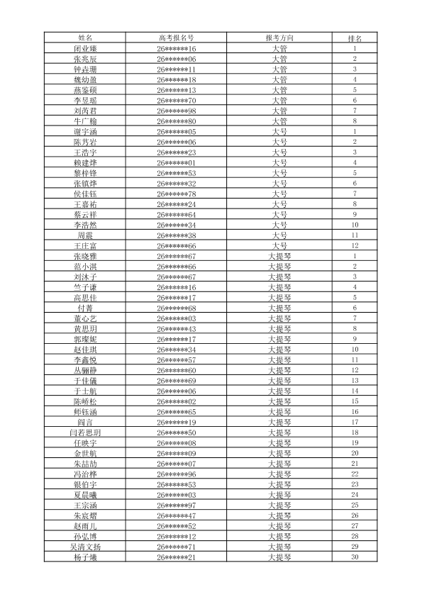
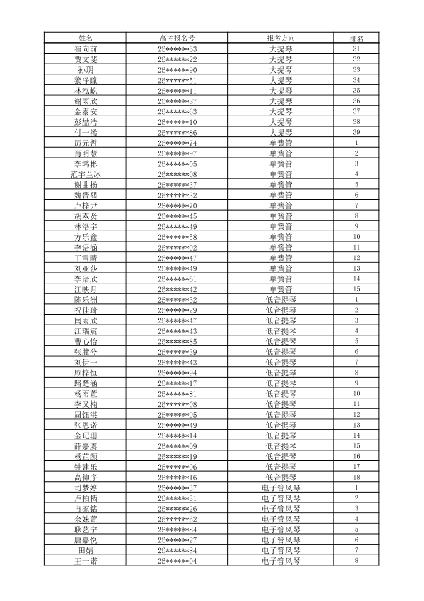
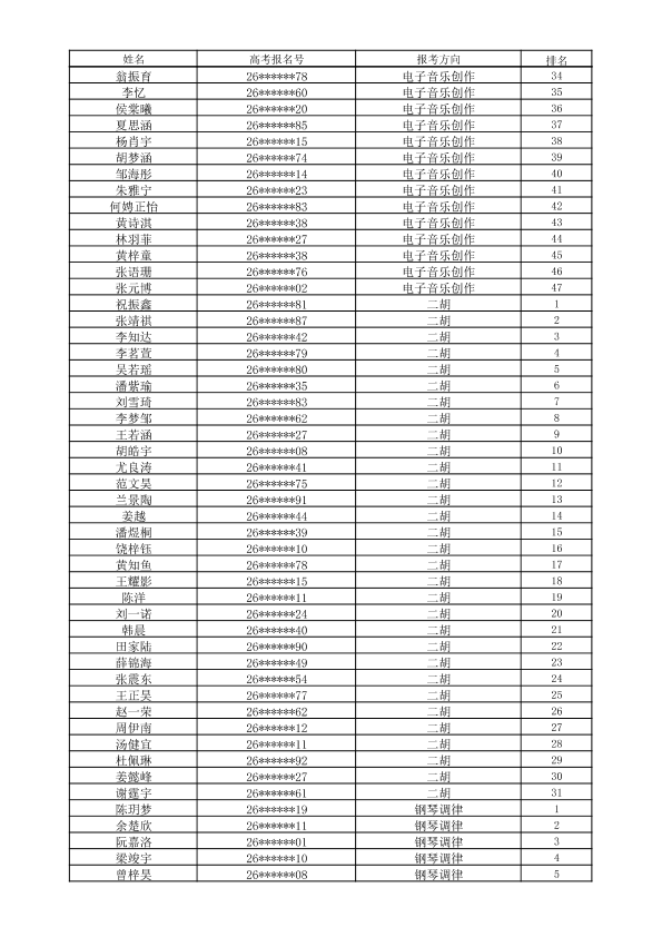
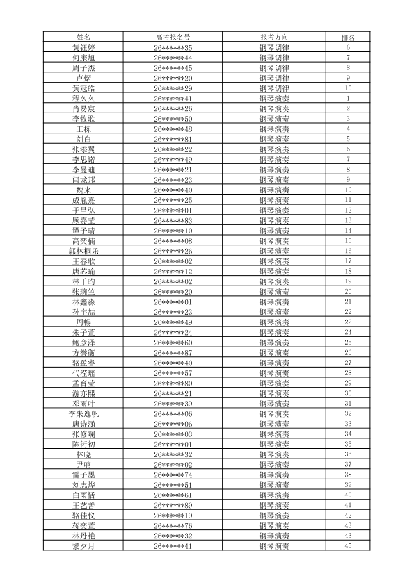
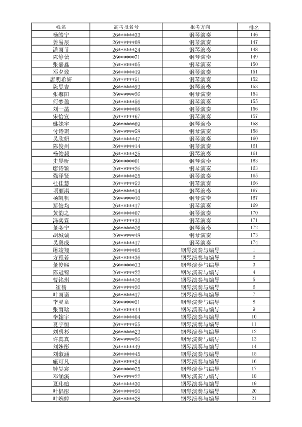
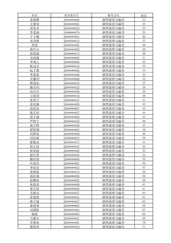
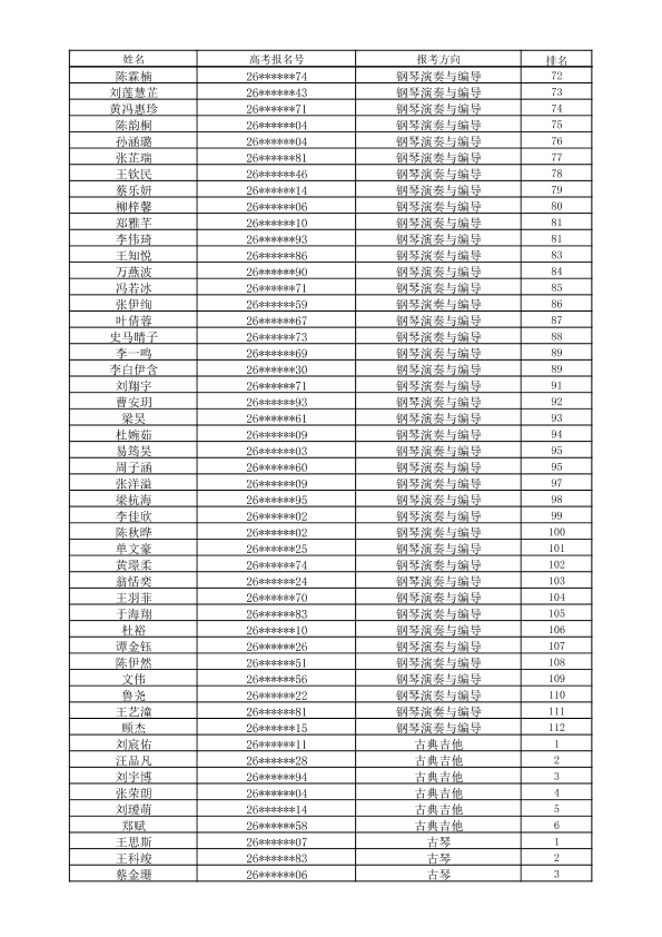
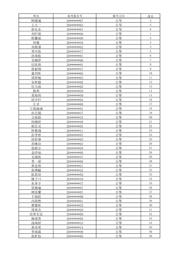
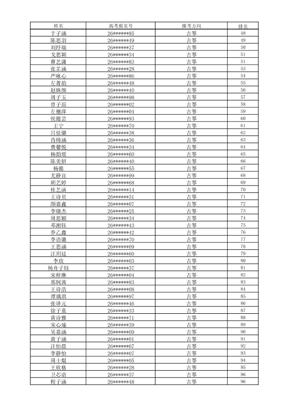
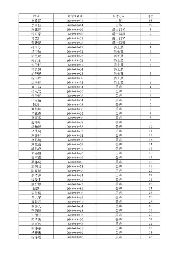
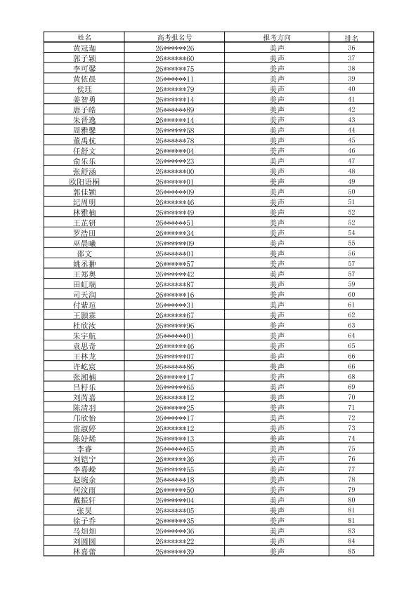
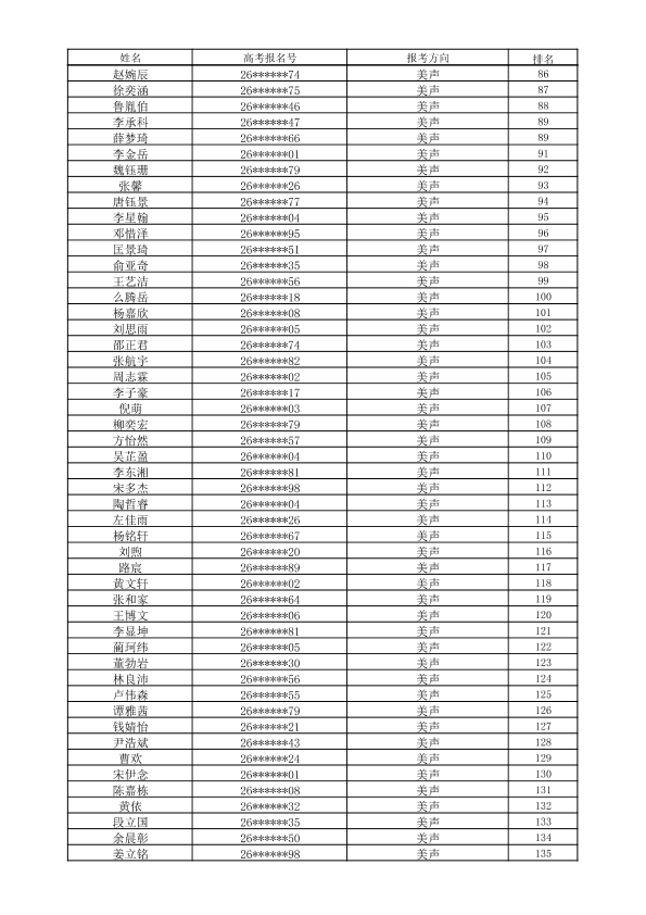
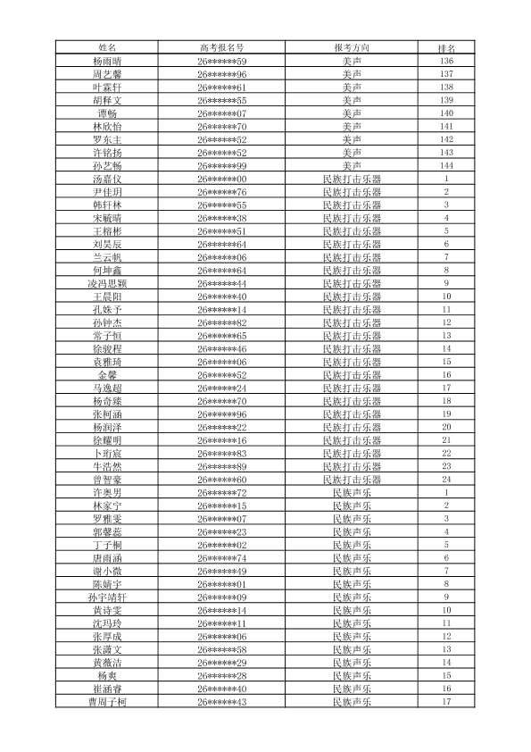
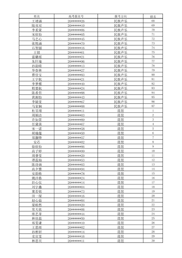
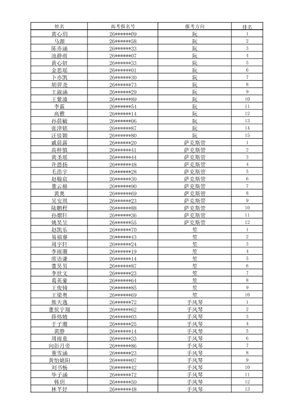
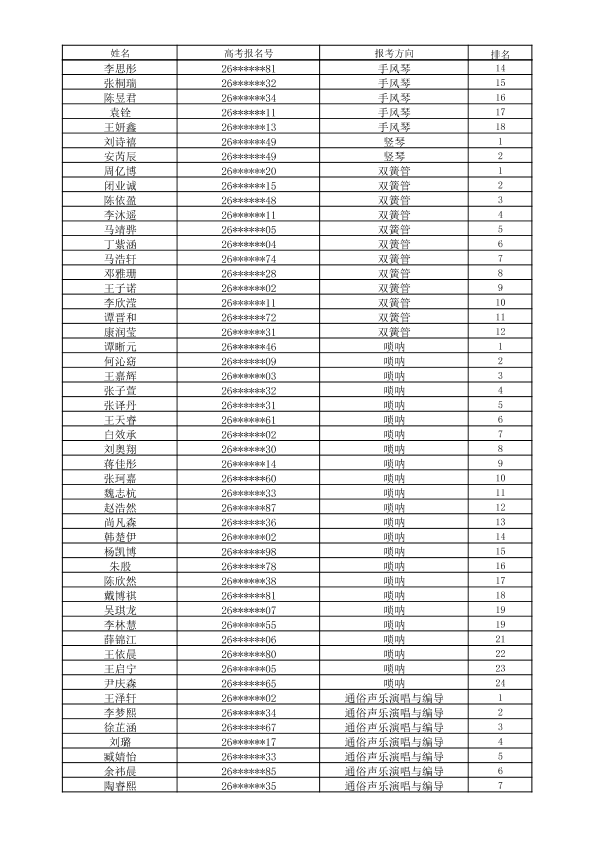
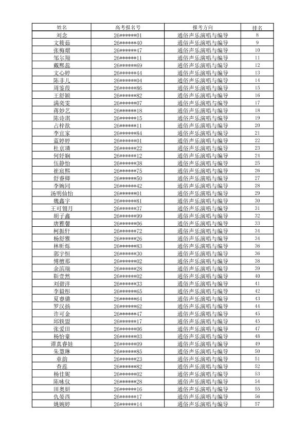
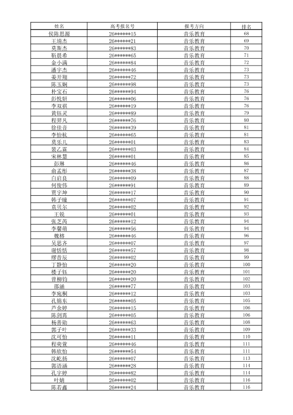
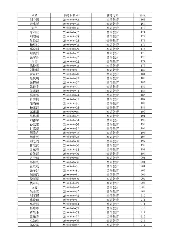
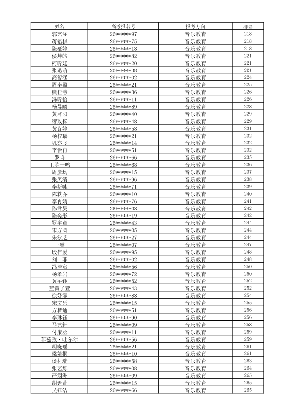
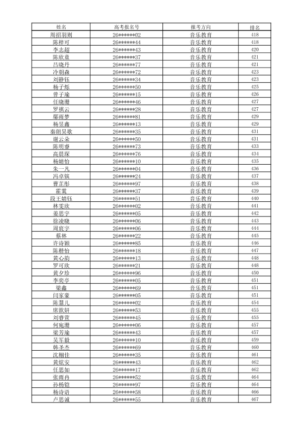
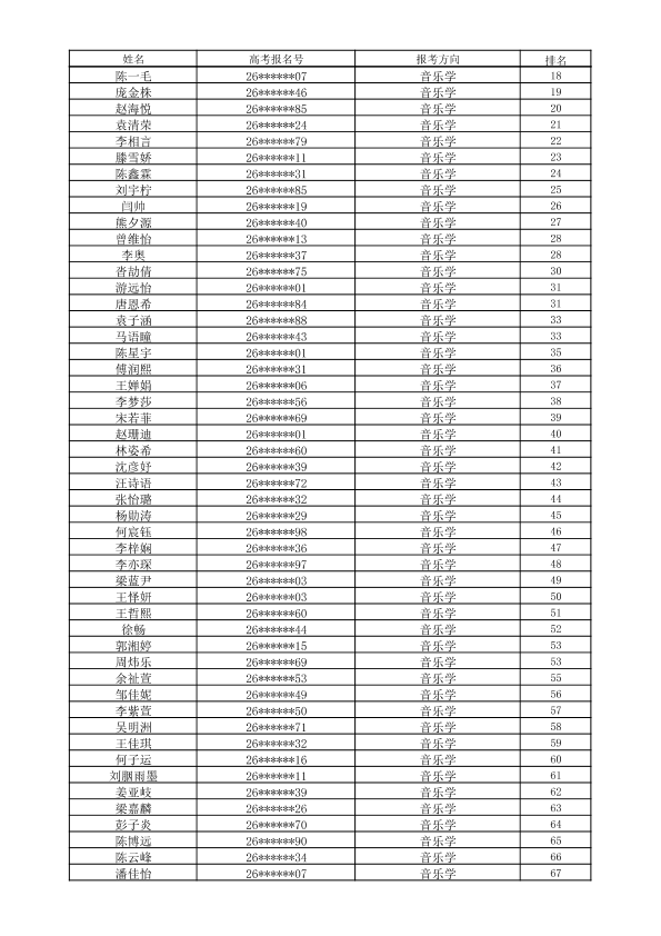
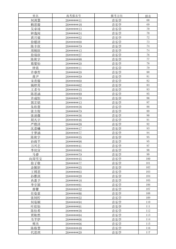
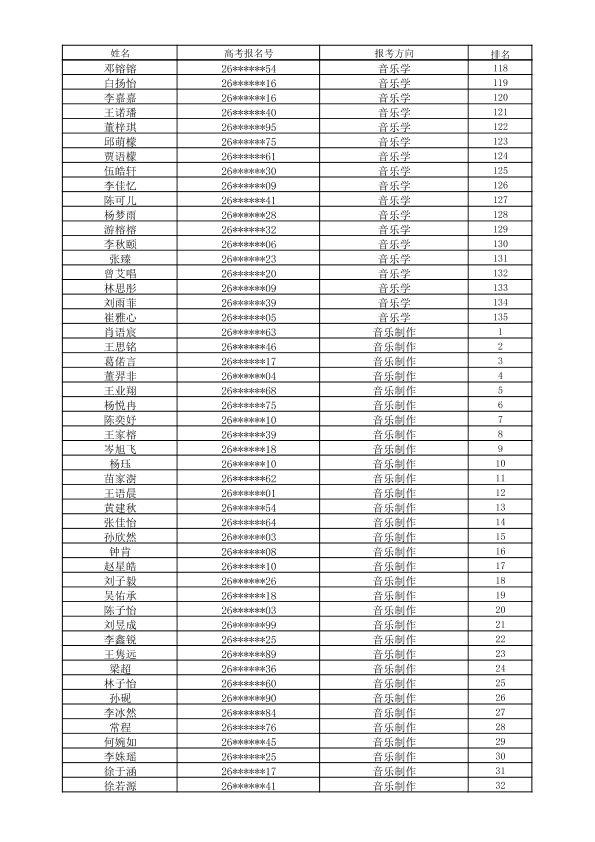
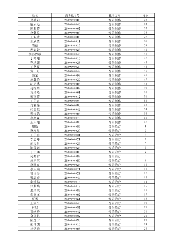
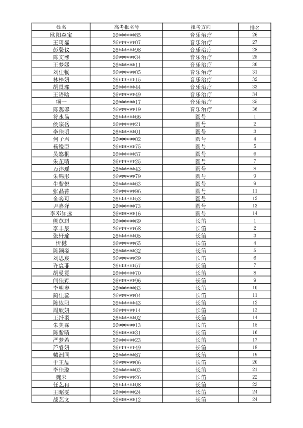
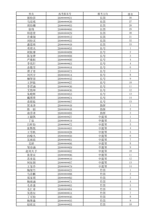
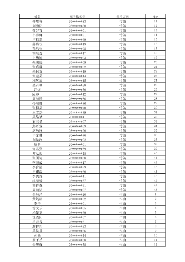
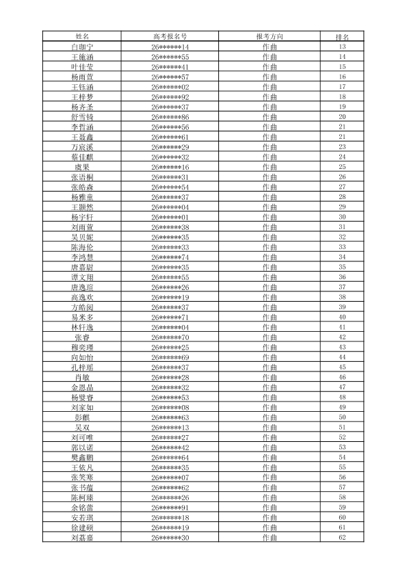
武汉音乐学院2026年普通本科招生校考成绩合格考生名单























































各位考生:
根据《武汉音乐学院2026年普通本科招生简章》《关于发布2026年普通本科招生校考成绩合格线的通知》,现将校考成绩合格考生名单予以公示。我校将在教育部专业合格名单备案时,统一核验考生艺术类省统考合格要求,如经核实不符合要求的,将无法备案合格名单,校考成绩视为无效,由此造成的后果由考生本人承担。
武汉音乐学院招生工作办公室
2026年4月11日
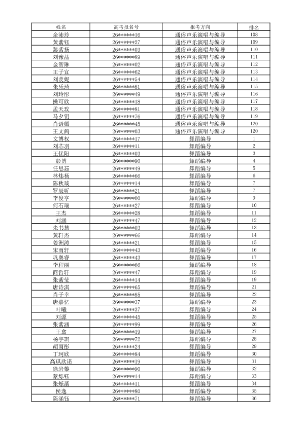
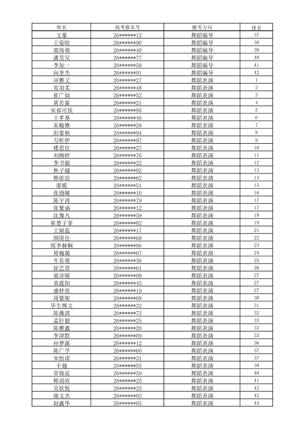
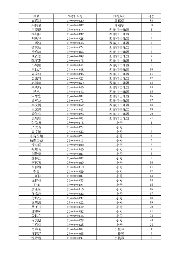
武汉音乐学院2026年普通本科招生校考成绩合格考生名单





















































